1566W - Sociétés coopératives de reconstruction de Caen

1 media

Administration de La Renaissance de Caen et dossiers de chantier

Cote/Cotes extrêmes

1566W/1-850

Date

1947-1985

Biographie ou Histoire

Après les affrontements destructeurs de l'été 1944, la ville de Caen doit se reconstruire. Une fois les premières phases de déblaiement et de déminage terminées, et dès 1946, la priorité devient la reconstitution des bâtiments détruits. Des associations de remembrement sont créées pour dresser le nouveau cadastre, retrouver les propriétaires et établir leurs droits en dommages de guerre. En effet, la loi du 28 octobre 1946 sur les dommages de guerre donne à tous les propriétaires de biens sinistrés le droit de recevoir une indemnité, notamment pour les biens immobiliers. Pour obtenir ces indemnisations, les propriétaires ont l'obligation d'adhérer à une association de remembrement.

Les sinistrés ont également la possibilité d'adhérer à une société coopérative, de droit privé, ou une association syndicale de reconstruction, de droit public. Dans les zones urbaines notamment, ces associations ou coopératives ont pour mission principale d'organiser les travaux de reconstruction en percevant les dommages de guerre pour le compte de leurs adhérents. La loi du 16 juin 1948 donne à ces groupements de reconstruction un statut légal et définitif.

A Caen, deux associations de remembrement se transforment en associations syndicales de reconstruction en novembre 1947 : l'Union des Propriétaires des Appartements de Caen (UPAC) et La Renaissance de Caen. Un an plus tard, en septembre 1948, ces deux associations syndicales se transforment en sociétés coopératives de reconstruction. D'autres sociétés coopératives sont créées dans le même mouvement : le Foyer Caennais en avril 1949, la Coopérative de Construction Rationnelle (CCR) en juin 1949 et la Coopérative de reconstruction des entreprises industrielles, commerciales et portuaires de Caen et ses environs (ICP) en juillet 1949. Leurs principales tâches sont d'établir les dossiers de reconstruction, de mettre au point les projets, de passer les marchés et de contrôler les travaux. Toutes ces coopératives autonomes adoptent une gestion commune : elles forment une Union des sociétés coopératives de reconstruction qui permet d'harmoniser les projets de reconstruction et d'organiser les programmes de travaux grâce à des services techniques et administratifs communs.

Chaque société coopérative de reconstruction a un champ d'action spécifique : l'UPAC construit les immeubles en copropriété, la Renaissance de Caen les immeubles en centre-ville composés de magasins et d'appartements. La Coopérative de Construction Rationnelle s'occupe quant à elle des Immeubles Rationnels Préfinancés (IRP) et des Immeubles Collectifs d'Etat (ICE), qui sont des immeubles financés massivement par l'Etat, souvent en copropriété, et attribués après construction. Enfin, le Foyer Caennais construit les quartiers résidentiels et l'ICP les entreprises.

Si ces sociétés sont au début autonomes, elles fusionnent une première fois en décembre 1953 pour devenir La Renaissance de Caen, à l'exception du Foyer Caennais qui ne rejoint la société coopérative unique qu'en juin 1960.

La Renaissance de Caen est dissoute en décembre 1964, après avoir participé pendant 17 ans à la reconstruction de la ville.

Histoire de la conservation

Les archives de la Renaissance de Caen ont été versées en deux fois, à la fin des années 1960 (versement 1566W, 89ml) et en 1994 (versement 1811W). Un premier classement a été fait dès 1979 puis dans le courant des années 2000 où il a été partiellement recoté (à l'exception des dossiers de chantier).

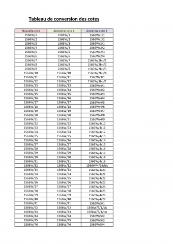
En 2019, le fonds 1566W a été classé, reconditionné et entièrement recoté (Voir le tableau de conversion des cotes).

Modalités d'entrées

Deux versements en 1968 et en 1994.

Présentation du contenu

Les dossiers de reconstruction sont constitués en majorité de renseignements sur les dommages de guerre (plans et renseignements sur les biens sinistrés, certificats de propriété, mutation ou transfert d'indemnités), les marchés, les plans des bâtiments en projet, les permis de construire, la copropriété (division des lots entre les propriétaires notamment), l'achèvement des travaux (constitué de plusieurs éléments tels que les quitus, les réceptions provisoires et définitives des travaux, les certificats de conformité, les décomptes définitifs et les résumés des travaux). Les dossiers peuvent contenir des photographies, notamment des travaux de fondation et de terrassement. Elles sont alors signalées dans l'analyse. 

Pour faciliter les recherches, il est conseillé de consulter le plan des îlots de reconstruction de La Renaissance de Caen et du Foyer Caennais (1566W/849).

Mode de classement

Les dossiers de reconstruction ont été classés par sociétés coopératives de reconstruction puis par unités de chantier. 

Documents en relation

Plusieurs dons d'archives privés sont en relation avec ce fonds :

  • F/6571, don du docteur Gosselin (1961) : documents relatifs aux organismes de reconstruction, dont délibération et correspondance de « La Renaissance de Caen » (1961) ;
  • F/6733, don du docteur Gosselin (1966) : conseil d'administration de « La Renaissance de Caen » (1956-1964) ;
  • 1J/415-416, archives de Georges Cazin ingénieur et commissaire au remembrement et à la reconstruction de Caen (don, 2012) ; Georges Cazin (1893-1985) fut directeur des sociétés coopératives de reconstruction de Caen.